top of page
This site was designed with the
.com
website builder. Create your website today.
Start Now
X1guidesmaterial
Home
About
Contact
My Services
More
Use tab to navigate through the menu items.
All Posts
Physics
Chemistry
Mathematics
Search
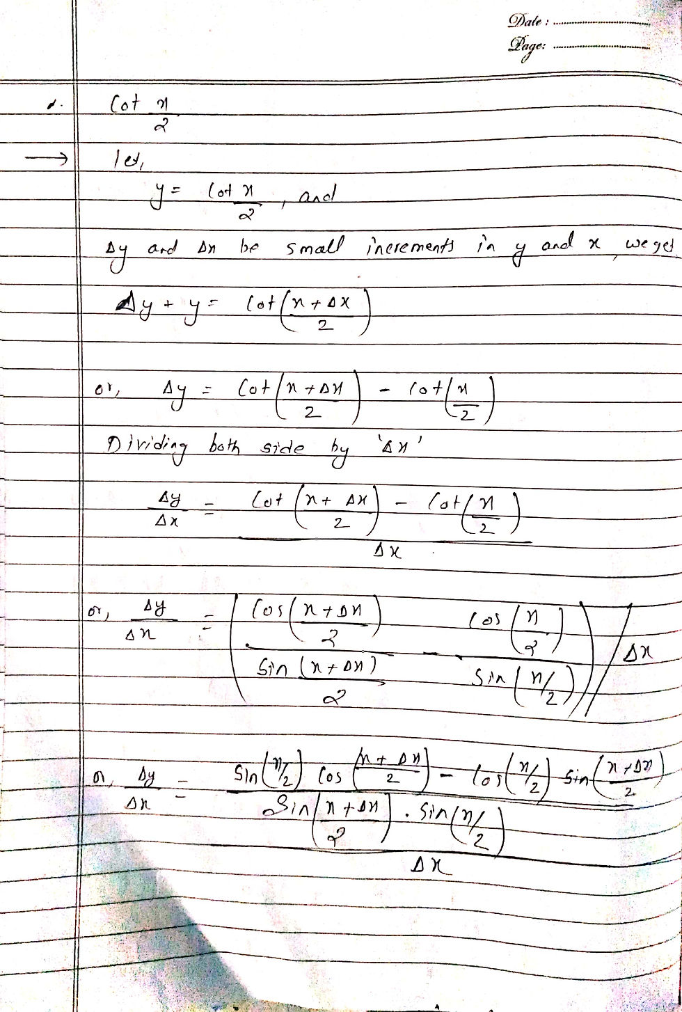
Derivatives # Part 3
Your Helper
Jan 25, 2022
0 min read
Updated:
Feb 28, 2022
Recent Posts
See All
Derivatives Solution #Part 2
Derivatives Solution #Part 1
Comments
Write a comment...
Write a comment...
Post: Blog2 Post
bottom of page
Comments