top of page

#1 Electric Current(Superposition Principal)

  • Writer: Your Helper
    Your Helper
  • Jan 26, 2022
  • 1 min read

Source: Physics Wallah Youtube Channel


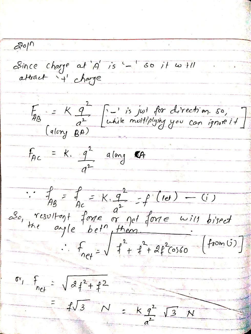
ree

ree

ree

ree

ree

ree

ree

ree

Comments


Post: Blog2 Post

+977 9810522585

©2021 by X1guidesmaterial. Proudly created with Wix.com

bottom of page